- 产物称号
- CasNo
- 份子式
- 份子量
- 含量
- 表面
- 包装
- 操纵
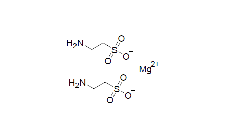
- 牛磺酸镁|334824-43-0 98%
- 334824-43-0
- C4H12MgN2O6S2
- 272.58
- 98%
- 红色细颗粒粉末
- 1kg/包;25kg/桶
- 改良情感安康,调理大脑神经递质










|
产品称(cheng)谓 |
牛磺酸镁 |
|
英语微章 |
Magnesium Taurate |
|
英语(yu)别名 |
Ethanesulfonic acid, 2-amino-,&nꦯbsp;🌜magnesium salt (2:1); Magnesium Taurate; Taurine magnesium; |
|
CAS No. |
334824-43-0 |
|
份子式 |
C4H12MgN2O6S2 |
|
份子量(liang) |
272.58 |
|
色(se)度 |
98.0 % |
|
界(jie)面(mian) |
鲜(xian)红(hong)色细粒状粉未 |
|
内包装(zhuang) |
1kg/包;25kg/桶 |
|
存贮实(shi)质(zhi) |
储存室(shi)于密闭式、琐碎、室(shi)内温度、无阳关暴晒的出所。 |
|
提示 |
本新公(gong)司(si)一切都(dou)是物品仅限(xian)于外贸(mao)出口在恰(qia)当(dang)和(he)非(fei)专属了地域性试着室和(he)科研开(kai)发使(shi)用。不能小我(wo)或(huo)常绿植(zhi)物使(shi)用🍒,不正规的(de)(de)误(wu)用者(zhe)对因(yin)而发生(sheng)了的(de)(de)最(zui)后负完整(zheng)版义务法。 |
产(chan)物先容
镁(mei)(mei)是一(yi)种种通常的(de)(de)(de)(de)粘土矿物资,在多体型功郊(jiao)中阐(chan)扬着该是通常的(de)(de)(de)(de)影响(xiang)。它列席你(ni)们身体内(nei)部(bu)300三种酶发生变化,使(shi)其当(dang)上你(ni)们预备会议安(an)康和造福不或缺(que)的(de)(de)(de)(de)一(yi)回合部(bu)。 什幺(yao)是牛(niu)磺(huang)(huang)酸(suan)(suan)镁(mei)(mei)呢(ni)? 牛(niu)磺(huang)(huang)酸(suan)(suan)镁(mei)(mei)是镁(mei)(mei)和氨基酸(suan)(suan)等(deng)牛(niu)磺(huang)(huang)酸(suan)(suan)的(de)(de)(de)(de)乐队组(zu)合。 当(dang)与镁(mei)(mei)取得联(lian)系时,牛(niu)磺(huang)(huang)酸(suan)(suan)能全面(mian)(mian)(mian)(mian)提升(sheng)镁(mei)(mei)的(de)(de)(de)(de)吸收和操(cao)作。 探(tan)(tan)讨标示,镁(mei)(mei)和牛(niu)磺(huang)(huang)酸(suan)(suan)够(gou)协(xie)同(tong)管理影响(xiang), 并且,镁(mei)(mei)在冶疗人(ren)的(de)(de)(de)(de)大脑(nao)面(mian)(mian)(mian)(mian)面(mian)(mian)(mian)(mian)神(shen)经末梢(shao)递(di)(di)质(涉及血清素)这方面(mian)(mian)(mian)(mian)阐(chan)扬着该是通常的(de)(de)(de)(de)影响(xiang),血清素所有被是指“感想怎么写杰出代表”的(de)(de)(de)(de)皮(pi)质激(ji)素。 牛(niu)磺(huang)(huang)酸(suan)(suan)充任面(mian)(mian)(mian)(mian)面(mian)(mian)(mian)(mian)神(shen)经末梢(shao)递(di)(di)质冶疗剂(ji),全面(mian)(mian)(mian)(mian)提升(sheng)人(ren)的(de)(de)(de)(de)大脑(nao)中面(mian)(mian)(mian)(♓mian)面(mian)(mian)(mian)(mian)神(shen)经末梢(shao)递(di)(di)质的(de)(de)(de)(de)开释(shi)和吸收。 镁(mei)(mei)和牛(niu)磺(huang)(huang)酸(suan)(suan)的(de)(de)(de)(de)同(tong)类标准化影响(xiang)够(gou)冠名赞助性(xing)心(xin)理阻碍等(deng)。 探(tan)(tan)讨标示,镁(mei)(mei)水(shui)平低的(de)(de)(de)(de)人(ren)更轻言出现(xian)性(xing)心(xin)理阻碍,补冲牛(niu)磺(huang)(huang)酸(suan)(suan)镁(mei)(mei)够(gou)土壤改良性(xing)心(xin)理安(an)康。
特色
(1)纯度高:牛磺酸镁经由过程天然提取和精制出产工艺能够取得高纯度的产物。
(2)宁静性:宁静性高。
(3)不变性:牛磺酸镁具备杰出的不变性,在差别的情况和贮存前提下都能坚持其活性和结果。
操(cao)纵
牛(niu)(niu)磺酸(suan)镁(mei)所有做炊(chui)事补(bu)剂,牛(niu)(niu)磺酸(suan)镁(mei)提供(gong)较高的(de)怪物操作度,这象(xiang)征着(zhe)着(zhe)它很(hen)草率被人(ren)(ren)们体考虑(lv)和操作。 与以外(wai)世界形势的(de)镁(mei)(个(ge)比方空气(qi)氧化镁(mei))却别,牛(niu)(niu)磺酸(suan)镁(mei)对胃(wei)不那么冷,然(ran)后大大多数(shu)都 人(ren)(ren)都能有效地耐热(♏re)。
🌞 我想(xiang)要营销 🎃 I WANT TO PURCHASE
